| 일 | 월 | 화 | 수 | 목 | 금 | 토 |
|---|---|---|---|---|---|---|
| 1 | 2 | 3 | ||||
| 4 | 5 | 6 | 7 | 8 | 9 | 10 |
| 11 | 12 | 13 | 14 | 15 | 16 | 17 |
| 18 | 19 | 20 | 21 | 22 | 23 | 24 |
| 25 | 26 | 27 | 28 | 29 | 30 | 31 |
- 파이썬
- 코복장
- T tree
- 정렬
- populating next right pointers in each node
- 코딩
- BFS
- 2247
- 27448
- 백준
- 아니메컵
- python
- 정답코드
- 부분수열의 합2
- dp
- 코딩테스트
- ps
- 스펨메일 분류
- 구현
- 모두의 꿈
- dfs
- 실질적 약수
- 코테
- 힙 정렬
- 다이나믹 프로그래밍
- 샤논 엔트로피
- 17070
- 딥러닝
- C
- lgb
- Today
- Total
코딩복습장
LeetCode: Binary Tree Inorder Traversal 본문
Given the root of a binary tree, return the inorder traversal of its nodes' values.
Example 1:
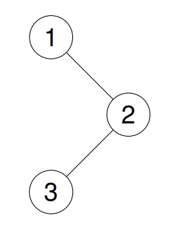
Input: root = [1,null,2,3]
Output: [1,3,2]
Explanation:

Example 2:
Input: root = [1,2,3,4,5,null,8,null,null,6,7,9]
Output: [4,2,6,5,7,1,3,9,8]
Explanation:

Example 3:
Input: root = []
Output: []
Example 4:
Input: root = [1]
Output: [1]
Constraints:
- The number of nodes in the tree is in the range [0, 100].
- -100 <= Node.val <= 100
Follow up: Recursive solution is trivial, could you do it iteratively?
이 문제는 dfs를 사용하여 중위 순위를 구현하는 방법이다.
초반에 root라고 주어진 데이터의 형식이 트리 형태가 아니라 list형식이라고 오해하여 트리를 처음부터 만드는 코드를
작성할 뻔 했지만 그게 아니라 미리 만들어져 있는 트리에서 중위 순위만 list로 출력하는 문제였다.
중위순위란 부모의 left 부모 right 순으로 출력하는 것을 말한다.
예를 들어 
작동 순서는 다음과 같다.
- 1의 왼쪽은 null이므로 출럭 x
- 부모 = 1 이므로 출력
- 1의 오른쪽으로 이동
- 2의 왼쪽노드 3이 있으므로 3 출력
- 부모 2 이므로 2 출력
- 2의 오른쪽은 없으므로 끝
구현 방법은 정말 간단하다.
미리 트리가 구성되어 있기 때문에 트리 탐색 코드를 recursive하게 짜면 된다.
왼쪽을 미리 방문하므로 코드의 순서는
dfs(node.left)
results.append(node.val)
dfs(node.right)
순이 될 것이다!

구현 코드
# Definition for a binary tree node.
# class TreeNode(object):
# def __init__(self, val=0, left=None, right=None):
# self.val = val
# self.left = left
# self.right = right
class Solution(object):
def inorderTraversal(self, root):
"""
:type root: Optional[TreeNode]
:rtype: List[int]
"""
results = []
def dfs(node):
if not node:
return
dfs(node.left)
results.append(node.val)
dfs(node.right)
dfs(root)
return results
'코딩 테스트 > python(파이썬)' 카테고리의 다른 글
| LeetCode: Relative Ranks (0) | 2025.05.06 |
|---|---|
| LeetCode: 3Sum (0) | 2025.05.05 |
| LeetCode: Word Search (0) | 2025.04.29 |
| LeetCode: Maximum Subarray (0) | 2025.04.22 |
| LeetCode: Jump Game II (0) | 2025.04.21 |