| 일 | 월 | 화 | 수 | 목 | 금 | 토 |
|---|---|---|---|---|---|---|
| 1 | 2 | 3 | ||||
| 4 | 5 | 6 | 7 | 8 | 9 | 10 |
| 11 | 12 | 13 | 14 | 15 | 16 | 17 |
| 18 | 19 | 20 | 21 | 22 | 23 | 24 |
| 25 | 26 | 27 | 28 | 29 | 30 | 31 |
Tags
- 코복장
- 2247
- 다이나믹 프로그래밍
- 코딩테스트
- 백준
- 부분수열의 합2
- ps
- 힙 정렬
- 코딩
- 파이썬
- 스펨메일 분류
- 아니메컵
- dfs
- populating next right pointers in each node
- T tree
- C
- 17070
- 27448
- 딥러닝
- 코테
- 정답코드
- 샤논 엔트로피
- lgb
- dp
- 실질적 약수
- BFS
- 모두의 꿈
- 정렬
- 구현
- python
Archives
- Today
- Total
코딩복습장
LeetCode: binary-tree-postorder-traversal 본문
728x90
Given the root of a binary tree, return the postorder traversal of its nodes' values.
Example 1:
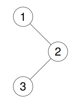
Input: root = [1,null,2,3]
Output: [3,2,1]
Explanation:

Example 2:
Input: root = [1,2,3,4,5,null,8,null,null,6,7,9]
Output: [4,6,7,5,2,9,8,3,1]
Explanation:

Example 3:
Input: root = []
Output: []
Example 4:
Input: root = [1]
Output: [1]
Constraints:
- The number of the nodes in the tree is in the range [0, 100].
- -100 <= Node.val <= 100
이 문제는 preorder의 반대의 방식으로 풀면 되는 문제이다.
방문한 leaf node부터 차례대로 출력해줘야 하기 때문에 이전과는 반대로 self.res를 append하는 코드를 마지막에 넣으면 된다.
self.postorderTraversal(root.left)
self.postorderTraversal(root.right)
self.res.append(root.val)
함수의 처음에 root가 없을 수 있기 때문에 if root == None: return [] 를 써주면 문제를 풀 수 있게 된다.
구현코드
# Definition for a binary tree node.
# class TreeNode(object):
# def __init__(self, val=0, left=None, right=None):
# self.val = val
# self.left = left
# self.right = right
class Solution(object):
def __init__(self):
self.res = []
def postorderTraversal(self, root):
"""
:type root: Optional[TreeNode]
:rtype: List[int]
"""
if root == None:
return []
self.postorderTraversal(root.left)
self.postorderTraversal(root.right)
self.res.append(root.val)
return self.res728x90
'코딩 테스트 > python(파이썬)' 카테고리의 다른 글
| LeetCode: maximum-difference-by-remapping-a-digit (1) | 2025.06.16 |
|---|---|
| LeetCode: maximum-difference-between-increasing-elements (4) | 2025.06.16 |
| LeetCode: Binary Tree Preorder Traversal (2) | 2025.06.10 |
| LeetCode: Array Partition (0) | 2025.06.09 |
| LeetCode: Remove Element (2) | 2025.06.07 |
Comments